Class Mammalia
Order Rodentia
Family Cricetidae
Subfamily Neotominae
Genus Neotoma


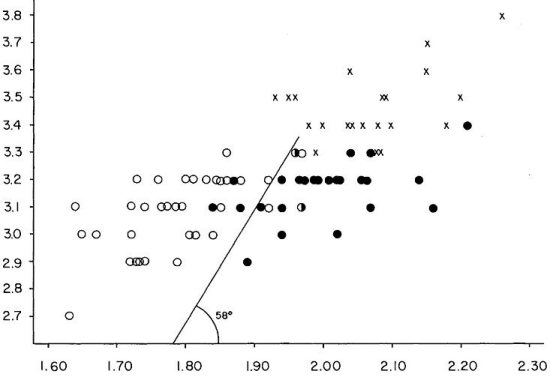
Neotoma micropus is foremost a grassland woodrat reaching the western limits of its distribution in western New Mexico (Fig. 1). A member of the woodrat group with a low or absent anterior lateral dentine tract, it is easily confused with N. albigula and N. leucodon. Figure 2 shows the size differences that will separate most lower first molars, but some will remain problematic.
Fig. 1. Distribution of the Southern Plains Woodrat in the central and southern portions of our region.
Where N. micropus and N. albigula/leucodon are sympatric, the former usually is restricted to more or less flat areas away from the rocky outcrops preferred by N. albigula/leucodon. It's expectable that in areas where both occur, N. albigula/leucodon will outnumber N. micropus in extensive cave fossil samples simply because the former will be represented by cave inhabitants and by predator carry-ins, whereas N. micropus will be represented only by the latter source.

Fig. 2. Scattergram of length of m1 (ordinate) against width of m1 (abscissa). Circles, modern Neotoma albigula/leucodon; dots, modern Neotoma micropus; X, modern Neotoma floridana. Line shows best separation between N. albigula/leucodon and N. micropus. Adapted from Harris (1984b).
Sites.
Early/Early-Mid Wisconsin: Lost Valley (Harris 1984b).
Mid/Late Wisconsin: Dark Canyon Cave (Tebedge 1988).
Mid/Late Wisconsin/Holocene: Jimenez Cave (Messing 1986: ?); Sierra Diablo Cave (UTEP cf.).
Late Wisconsin: Balcony Room (UTEP); Bison Chamber (Harris 1984b: ?); Big Manhole Cave (Harris 1993c); Harris' Pocket (Harris 1984b: cf.); Lower Sloth Cave (Logan 1983); Muskox Cave (Logan 1981); TT II (Harris 1984b); Upper Sloth Cave (Logan and Black 1979).
Late Wisconsin/Holocene: Fowlkes Cave (Dalquest and Stangl 1984b); Isleta Cave No. 1 (Harris 1984b: ?); Isleta Cave No. 2 (Harris 1984b: ?); Pendejo Cave (Harris 2003: cf.).
Literature. Dalquest and Stangl 1984b; Harris 1984b, 1993c, 2003; Logan 1981, 1983; Logan and Black 1979 Messing 1986; Tebedge 1988.
Last Update: 25 Oct 2013